금융용어정리 - 만기 수익률금융 & 경제2022. 12. 27. 12:39
Table of Contents
본 게시글은 유튜브 : 경제 TV 너무경 : 너무 쉬운 경제 윤성종 님의 유튜브 영상을 참고하였습니다. 개인적으로 정리하는 글임을 알립니다.
금융용어정리 - 만기 수익률
만기 수익률
만기 수익률이란 채권의 시장 가격과 미래 현금 흐름의 현재가치를 일치시켜주는 할인율을 뜻한다.
예를 들어 액면가 100억, 액면 이자율 10% 만기가 2년인 채권이 있다고 하자
채권 시장에서도 채권 가격은 100억이고, 채권 이자율도 10%였는데
경기 침체가 우려되어 안전 자산인 채권 수요가 증가해서 채권 가격이 상승했다고 해서
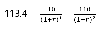
채권의 가격이 113.4억이 되었다.
이 때의 가격을 수식을 나타내면 아래와 같다.

위 수식에서 r(할인율)을 구하는 방법은 계산기 없이 구하는 것은 매우 복잡하다.
계산기든 뭐든 어떤 수단으로 r을 구해보면 0.03이다

위의 그림을 보면 채권의 가격이 상승하면 채권의 이자율(할인율)이 하락하는 것을 볼 수 있다.
다시 만기 수익률의 뜻을 살펴보면
만기 수익률 : 채권의 시장 가격과 미래 현금 흐름의 현재 가치를 일치시켜주는 할인율

빨갛게 표시한 숫자가 만기 수익률이다.
'금융 & 경제' 카테고리의 다른 글
| 금융용어정리 - 소득공제, 과세표준, 세율, 세액 (0) | 2022.12.29 |
|---|---|
| 금융용어정리 - 원리금, 원금균등상환, 원리금균등상환 (0) | 2022.12.28 |
| 금융용어정리 - 부동산의 가치 평가(원가, 비교, 수익 방식) (0) | 2022.12.26 |
| 금융용어정리 - 요구 수익률, 기대 수익률 (1) | 2022.12.25 |
| 금융용어정리 - 현재 가치와 투자 결정 (1) | 2022.12.24 |